

大河报·大河客户端记者 刘瑞朝
今天是腊月二十,年味越发近了,你家开始准备年货了吗?大河报记者从郑州市政府了解到,从今天起,到21日,郑州市政府储备猪肉通过全市240多个商超、便利店进行投放。本次投放的储备猪肉均为冷鲜肉,保障春节期间市场供应。
大河报记者从郑州市商务局了解到,此次储备肉投放时间为1月14日-21日(农历腊月二十至二十七日),共计8天。郑州将向市场投放冷鲜猪肉(带皮前腿肉、带皮后腿肉、带皮五花肉、精瘦肉、排骨、猪蹄,共计6个品类)。在价格方面,排骨27.9,精瘦肉27.6,猪蹄26.8,带皮五花肉25.6,带皮后腿肉22.7,带皮前腿肉20.5。
1月17日-21日(农历腊月二十三至二十七日)共计5天,向市场投放新鲜鸡蛋和蔬菜(大白菜、白萝卜、圆白菜、土豆、洋葱、蒜薹、黄瓜、西红柿、辣椒、芹菜,共计10个菜品),原则上购买数量不限。
此次春节投放包括有猪肉、鸡蛋和蔬菜。其中猪肉投放6个品类(去骨前腿、去骨后退、五花肉、瘦肉、肋排、猪蹄);蔬菜投放10个品类(大白菜、圆白菜、白萝卜、土豆、洋葱、西红柿、黄瓜、辣椒、蒜苔和芹菜);鸡蛋投放为新鲜鸡蛋。
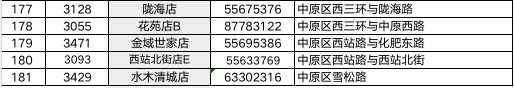
投放地点主要设在丹尼斯、世纪联华、华润万家、永辉超市、北京华联、大润发、大商、正道思达、万邦生鲜、宏利来等全市各大连锁超市(便利店)240多家门店。各投放点入口处设有横幅、指示牌等提示标志,店内设有政府投放专区,市民可就近选择。
部分门店地址↓↓